Ghaziabad News: गाजियाबाद विकास प्राधिकरण ने शहरवासियों के लिए नई प्लॉट स्कीम की घोषणा की है।
Ghaziabad News: गाजियाबाद विकास प्राधिकरण (Ghaziabad Development Authority) ने शहरवासियों के लिए नई प्लॉट स्कीम (New Plot Scheme) की घोषणा की है। इसके तहत जीडीए आवासीय, वाणिज्यिक, संस्थागत और औद्योगिक भूखंडों की नीलामी करेगा। यह नीलामी 30 जुलाई को हिंदी भवन सभागार (Hindi Bhawan Auditorium) में आयोजित की जाएगी। इसमें भाग लेकर लोग शहर के प्रमुख इलाकों में प्रॉपर्टी खरीदने का मौका पा सकते हैं। पढ़िए पूरी खबर…

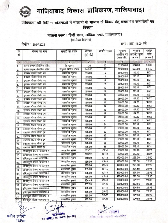
प्राधिकरण (Authority) के मुताबिक, इस नीलामी में विभिन्न कैटेगरी के प्लॉट उपलब्ध होंगे। औद्योगिक और वाणिज्यिक प्लॉट की बात करें तो मधुबन बापूधाम औद्योगिक पॉकेट में बैंक और सीएनजी फिलिंग स्टेशन के लिए भूखंड रखे गए हैं। इच्छुक खरीदार जीडीए की आधिकारिक वेबसाइट से पूरी जानकारी प्राप्त कर सकते हैं। साथ ही अथॉरिटी ने प्रॉपर्टी का स्थल निरीक्षण करने की विशेष व्यवस्था भी की है।
ये भी पढ़ेंः Greater Noida: ग्रेटर नोएडा में अथॉरिटी का प्लॉट खरीदने का गोल्डन मौका
कहां मिलेंगे ये प्लॉट?
बैंक और सीएनजी फिलिंग स्टेशन के लिए: मधुबन बापूधाम औद्योगिक पॉकेट
व्यवसायिक भूखंड: इंद्रप्रस्थ योजना पॉकेट-एच, इंदिरापुरम योजना न्यायखण्ड-1
आवासीय प्लॉट: इंदिरापुरम विस्तार ब्लॉक-ए, कौशाम्बी योजना ब्लॉक-ए
दुकानों के लिए भूखंड: इंदिरापुरम योजना ज्ञानखण्ड-3, यूपी बॉर्डर पॉकेट-ए
इसके अलावा, गाजियाबाद के अन्य प्रमुख क्षेत्रों में भी प्लॉट उपलब्ध हैं, जो इस नीलामी में शामिल किए जाएंगे।

क्या हैं कीमतें और प्लॉट के साइज?
दुकानों के लिए भूखंड: साइज 13.75 वर्ग मीटर से शुरू, न्यूनतम कीमत 20.63 लाख
आवासीय प्लॉट: साइज 67.60 वर्ग मीटर से शुरू, शुरुआती कीमत 62.87 लाख
वाणिज्यिक प्लॉट: साइज बड़े हैं, जिनकी कीमत भी उसी अनुसार अलग-अलग तय की गई है।
ये भी पढ़ेंः Gaur City: ग्रेटर नोएडा वेस्ट की गौड़ सिटी में रहने वाले बायर के साथ गजब खेल हो गया
देखिए स्कीम में शामिल प्लॉट




